Phase Locked Loop
-
frequency multiplier
-
reduce of VCO integral Phase Noise
-
modulate VCO Phase in TX
-
PLLs have equal input and output Frequencies
or -
Type I PLL:
-
Type II PLL:
Linear Phase Model
- PD is like an Operational Amplifier with gain
- VCO is an integrator with gain
Phase Detector
- circuit that senses the Phase difference between two Periodic Signals
XOR
- displays Periodic, non-monotonic characteristic
Type I PLL
- large
is needed for stability, but leads to decrease in PD ripple - limited acquisition range
- finite static phase error
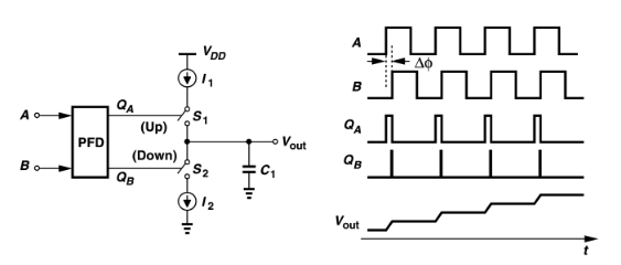
Phase Frequency Detector
- circuit that senses the Phase Difference and Frequency between two Periodic Signals
- A produces
rising edge on and resets it, avg of is PF info
Charge Pump
- eliminates tradeoff between damping factor and corner frequency of LF
Higher Order Loops
- adding filters can improve ripple but reduce phase margin
Noise
- PLL reduces phase noise at output
- noise sources inside PLL are VCO, phase detector, loop filter + cp, and reference









